2021年,省教育厅会同省人社厅等相关部门面向社会公开招聘8410名中小学教师(其中,幼儿园教师1138名,新机制教师1192名,城镇义务教育学校教师1416名,各地自主公开招聘农村义务教育学校教师4664名)。
招聘条件
(一)全省中小学教师招聘基本条件
1.思想政治素质好,拥护党的路线方针政策,具有全心全意为人民服务的宗旨意识,遵纪守法,品行端正;
2.有理想、有追求、责任感强,爱教敬业,乐于奉献;
3.学习成绩优良,身心健康,具有符合教师岗位的专业能力,有较好的表达能力和较强的综合素质;
4.具有相应的学历,其中新机制教师应具有大学本科及以上学历;
5.持有相应学段教师资格证书,持有高学段教师资格证人员可以报考低学段的岗位。
(二)报考新机制教师年龄应在30周岁以下(即1990年6月1日以后出生)。资教生(含特岗生)、“三支一扶”服务期满人员报名参加考试的,年龄可放宽至35周岁以下(即1985年6月1日以后出生)。对报考脱贫县的,年龄可放宽至40周岁以下(即1980年6月1日以后出生)。
(三)报考各地幼儿园、城镇义务教育学校、各地自主招聘的农村义务教育学校教师岗位的考生,除应满足招聘条件(一)所列的基本条件外,还须满足各地招聘公告中公布的其他条件。
(四)有下列情况之一的不受理报考:
1.曾因犯罪受过刑事处罚的;
2.曾被开除公职的;
3.法律、法规、规章规定可不受理报考的人员。
报名时间与方式
本次公开招聘工作采取本人报名、全省统一笔试、县(市、区)组织面试的方式进行。
报名时间:2021年4月6日9:00至4月10日21:00
报名方式:本次招聘考试的报名、缴费、笔试准考证打印均通过湖北省教育考试院网进行,报名费按照湖北省公务员和事业单位公开招聘人员考试费标准执行,笔试每人每科按50元收取,合计100元/人,面试收费标准为每人每次50元。农村特困大学生和城镇低保人员,可减免报名费。
聘用待遇
公开招聘的中小学教师使用事业编制,享受公办教师各项待遇。
2021年湖北面向社会公开
招聘8410名中小学教师
01
湖北省2021年农村义务教育学校
教师公开招聘具体岗位情况表
(幼儿园教师)
宜昌岗位信息

02
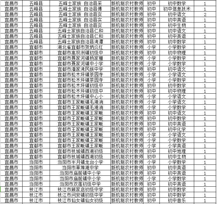
湖北省2021年农村义务教育学校
教师公开招聘具体岗位情况表
(新机制教师)
宜昌岗位信息


03
湖北省2021年农村义务教育学校
教师公开招聘具体岗位情况表
(地方自主招聘农村教师)
宜昌岗位信息



04
湖北省2021年农村义务教育学校
教师公开招聘具体岗位情况表
(市县城区教师)
宜昌岗位信息

☎
宜昌市教育行政部门联系方式

微信扫一扫,加客服为好友
第一时间处理您所遇到的问题